Technikai adatok
          
                    0
          1703
        
        
        A mágnesekkel kapcsolatos technikai jellemzők megértése érdekében néhány alapvető mágneses fogalmat és jellemzőt érdemes tisztázni. Itt van néhány kulcsfontosságú mágneses érték és annak magyarázata: Remanencia (Br)A remanencia, vagy maradó mágnesesség azt a maximális mágneses fluxussűrűséget jelenti, amelyet a mágnes képes fenntartani, miután eltá..
        
      
          
                    0
          766
        
        
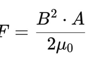
        Permanens mágnesek esetében több fontos fizikai jellemzőt is számolhatunk, amelyek segítenek megérteni és optimalizálni azok alkalmazását különféle területeken. Itt van néhány alapvető képlet, amelyek a leggyakrabban használt mágneses értékek kiszámítására szolgálnak:1. Mágneses Fluxussűrűség (B)Ahogy korábban említettem, a mágneses fluxussűrűség e..
        
      
          
                    0
          518
        
        
        A permanens mágnesek tulajdonságai jelentősen változhatnak, ha extrém alacsony hőmérsékleteknek vannak kitéve, azaz negatív hőmérsékleti tartományban. Itt néhány általános hatást sorolok fel, amelyek jellemzők lehetnek a különböző típusú mágnesekre ilyen körülmények között:1.     Neodímium mágnesek (NdFeB): Alacsony hőmérsékleteken a neodímium mágn..
        
      
          
                    0
          635
        
        
         A permanens mágnesek olyan anyagok, amelyek hosszú ideig megőrzik a mágneses tulajdonságaikat anélkül, hogy külső mágneses mezőbe lennének helyezve. Különböző típusaik vannak, mindegyiknek más-más alkalmazási területe és hőtűrése van. Íme néhány gyakori típus és azok jellemzői:Neodímium mágnesek (NdFeB): Ezek a mágnesek rendkívül erősek, így a leg..
        
      
          
                    0
          579
        
        
        A leszakadási erő kiszámítása a permanens mágnesek esetében fontos kérdés, különösen az ipari alkalmazásokban, ahol a mágneses rögzítés megbízhatósága kritikus. A leszakadási erő azt az erőt jelenti, amely szükséges egy mágnes eltávolításához egy fémes felületről vagy más mágnesről. Itt van néhány lépés és szempont, amelyeket figyelembe kell venni ..
        
      
          
                    0
          1357
        
        
        Mit jelent neodímium mágnesek tulajdonságainál az "N" jelölés?A permanens neodímium mágnesek jelölésében az "N" betű az angol "Neo" vagy "Neodymium" szavak rövidítése, ami magát a mágnes anyagát, neodímiumot jelenti. Az "N" jelölés azonban nem csak az anyag típusára utal, hanem arra is, hogy milyen maximális munkahőmérsékleten képes a mágnes stabil..
        
      
          
                    0
          1750
        
        
        A mágnes tapadási ereje a vas felületéhez több tényezőtől függ:A mágnes típusa és erőssége: A neodímium mágnesek, amelyek az egyik legerősebb ritkaföldfém mágnesek közé tartoznak, sokkal erősebben tapadnak, mint például a kerámia mágnesek.A vas felületének minősége: Sima, tiszta felületen a mágnes jobban tapad, mint durva vagy rozsdás felületen.A m..
        
      
          
                    0
          2190
        
        
        Szúnyogháló rögzítése mágnessel. A tavasz megérkezésével, egy kellemetlen rovar is megérkezett.Mindenki megtapasztalta, hogy az éjszakai pihenést képes tönkre tenni egy szúnyog.  A kellemes, friss levegő, egy meleg nap után teljes pihenést biztosít, ha nem érkezik a hívatlan vendég, a szúnyog. A mágneses szúnyogháló szett, mágnesek segítségével rög..
        
      
          
                    0
          4024
        
        
         Fémek mágneses tulajdonságaiA mágnesek lenyűgözők, mivel egyedülálló kölcsönhatásba lépnek különböző fémekkel. A vonzás a fém mágneses tulajdonságain alapul, amit az elektronok elrendezése és a mágneses momentumok befolyásolnak.Ferromágneses fémekEzek azok a fémek, amelyek a leggyakrabban vonzódnak a mágnesekhez:Vas (Fe): Az elsődleges ferromágnes..
        
       
           
                           
                           
                          -100x100w.jpg) 
                           
                           
                          -100x100.jpg) 
                           
                           
                           
                           
                           
                           
                           
                           
                           
                           
                           
                           
                           
                           
                           
                           
                           
                           
                           
                           
                           
                           
                           
                           
                           
                           
                           
                           
                           
                           
                           
                           
                           
                           
                           
                           
                           
                          -100x100h.jpg) 
                           
                           
                           
                           
                          -100x100.jpg) 
                           
                           
                           
                           
                           
                           
                           
                           
                           
                           
                           
                           
                           
                           
                           
                           
                           
                           
                           
                           
                           
                           
                           
                           
                           
                           
                           
                           
                           
                           
                   
                   
                   
                   
                   
                   
                   
                  